同步發電機的工作原理是什么?
頁面更新時間:2015-05-26 11:33
同步發電機是將機械能轉換為交流電能的設備。它工作時既有電磁運動,又有機械運動,那么交流電能如何產生?
同步發電機的工作原理
在設計同步發電機時,若適當選擇磁極的形狀,使得勵磁繞組通直流電后,定子、轉子之間的磁感應強度近似于按正弦規律分布。同步發電機所謂“同步”,就是說發電機的轉子由發動機拖動旋轉后,在定子和轉子之間的氣隙里便產生一個旋轉磁場,這個旋轉磁場是發電機的主磁場又稱為轉子磁場。當主磁場切割定子三相電樞繞組的線圈時,就會產生三相感應電勢,接通負載后,在電樞繞組中流過感應電流,這個交變電流也在發電機的氣隙中產生一個旋轉磁場。這個旋轉稱為電樞磁場,又稱為定子磁場。根據右手螺旋守則,電樞磁場的等效磁極N’S’,如圖2.102(a)所示。當主磁場由發動機拖動旋轉到一個新的位置時,電樞磁場的等效磁極N’S’也隨之旋轉到另一位置,如圖2.102(b)所示。
由圖2.102可知,主磁場被發電機拖動旋轉時,它拉著電樞旋轉,就像兩塊磁鐵之間有相互吸引力一樣。就是說發電機的轉子帶動電樞磁場以同一轉速旋轉,兩者之間保持同步,故稱為同步發電機。電樞磁場的轉速稱為同步轉速。
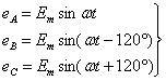
由于定子三相繞組在空間的位置是對稱的,彼此相差120°電角度,因此,定子繞組切割磁力線時,將產生對稱三相感應電勢,即

(2-22)
定子每相繞組感應電勢的有效值為

(2-23)
如果將電樞繞組接成星形,并且接上三相對稱負載后,在感應電勢的作用下,電路中產生對稱的三相電流,向負載輸出交流電能。
溫馨提示:本公司特別推出康明斯柴油發電機組,發電機,柴油發電機,沃爾沃柴油發電機組,康明斯發電機,船用柴油發電機組等等產品,如有資詢柴油發電機組價格者,請電話洽談!
上一篇:柴油機氣動馬達怎樣做啟動的?
下一篇:康明斯發電機組的維護保養