怎樣計算同步發電機的功率和轉矩
頁面更新時間:2015-05-15 17:10
同步發電機是將機械能轉換為交流電能的一種旋轉電磁設備。它輸入的機械功率P1,一部分通過定、轉子磁場的相互作用和電磁感應,將機械能轉換為交流電能,其電磁功率為PM;另一部分消耗于機械損耗PΩ、定子損耗PFel和雜散損耗Ps。故同步發電機功率方程式可表示為
P1=PM+PΩ+PFel+Ps (2-43)
再從電磁功率中堅強電樞繞線的銅損Pcus,可得同步發電機的輸出功率P2,即
P2=PM-Pcus (2-44)
或
PM=P2+Pcus (2-45)
其中
P2=mUIscosφ
Pcus=mI2 srs
式中 m——相數。
式(2-44)未包括轉子勵磁繞組電流所產生的銅損。
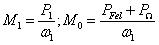
若把功率方程式除以同步角速度ω1,并略去雜散損耗Ps,即可得同步發電機的轉矩方程式,即
M1≈M0+M (2-46)
式中 M1,M0——分別表示發動機的驅動轉矩M1和發電機的空載轉矩M0。

(2-47)
M則為發電機的電磁轉矩,即

(2-48)
在同步發電機中,電磁轉矩為制動轉矩。在運行過程中,當負載增大時制動轉矩增大,發動機的驅動轉矩克服制動的電磁轉矩也相應增大,這就是機械能轉換為交流電能的過程。
江蘇江豪發電機組有限公司專業生產銷售沃爾沃發電機,康明斯發電機組,沃爾沃柴油發電機等其他柴油發電機組,船用柴油發電機組,柴油發電機。品種齊全,品質保證,價格低廉,信譽好,享譽全球!
上一篇:凸極式發電機有什么特點
下一篇:柴油發電機組啟動電動機的離合機構有哪些?